Product Summary
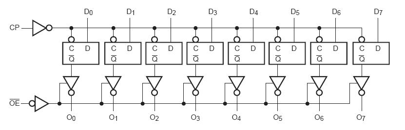
The 74LCX574WMX is a Low Voltage Octal D-Type Flip-Flop with a buffered common Clock (CP) and a buffered common Output Enable (OE). The information presented to the D inputs is stored in the flip-flops on the LOW-to-HIGH Clock (CP) transition. The 74LCX574WMX is functionally identical to the 74LCX574WMX except for the pinouts. The 74LCX574WMX is designed for low voltage applications with capability of interfacing to a 5V signal environment. The 74LCX574WMX is fabricated with an advanced CMOS technology to achieve high speed operation while maintaining CMOS low power dissipation.
Parametrics
74LCX574WMX absolute maximum ratings: (1)VCC Supply Voltage: -0.5 to +7.0V; (2)VI DC Input Voltage: -0.5 to +7.0V; (3)VO DC Output Voltage Output in 3-STATE: -0.5 to +7.0V; (4)Output in HIGH or LOW State: -0.5 to VCC+0.5; (5)IIK DC Input Diode Current VI<GND: -50mA; (6)IOK DC Output Diode Current VO<GND: -50mA; (7)VO>VCC+50: +50mA; (8)IO DC Output Source/Sink Current: ±50mA; (9)ICC DC Supply Current per Supply Pin: ±100mA; (10)IGND DC Ground Current per Ground Pin: ±100mA; (11)TSTG Storage Temperature: -65 to +150℃.
Features
74LCX574WMX features: (1)5V tolerant inputs and outputs; (2)2.3V–3.6V VCC specifications provided; (3)7.5ns tPD max (VCC=3.3V), 10μA ICCmax; (4)Power down high impedance inputs and outputs; (5)Supports live insertion/withdrawal; (6)±24mA output drive (VCC=3.0V); (7)Implements patented noise/EMI reduction circuitry; (8)Latch-up performance exceeds JEDEC 78 conditions; (9)ESD performance– Human body model>2000V; (10)Machine model>200V; (11) Leadless Pb-Free DQFN package.
Diagrams

| Image | Part No | Mfg | Description | ![]() |
Pricing (USD) |
Quantity | ||||||||||||||||||
|---|---|---|---|---|---|---|---|---|---|---|---|---|---|---|---|---|---|---|---|---|---|---|---|---|
![]() |
![]() 74LCX574WMX |
![]() Fairchild Semiconductor |
![]() Flip Flops Oct D-Type Flip-Flop |
![]() Data Sheet |
![]()
|
|
||||||||||||||||||
| Image | Part No | Mfg | Description | ![]() |
Pricing (USD) |
Quantity | ||||||||||||||||||
![]() |
![]() 74LCX00 |
![]() Other |
![]() |
![]() Data Sheet |
![]() Negotiable |
|
||||||||||||||||||
![]() |
![]() 74LCX00BQX |
![]() Fairchild Semiconductor |
![]() Gates (AND / NAND / OR / NOR) Quad 2-Input NAND Gate with 5V Tol Inp |
![]() Data Sheet |
![]()
|
|
||||||||||||||||||
![]() |
![]() 74LCX00M |
![]() Fairchild Semiconductor |
![]() Gates (AND / NAND / OR / NOR) Qd 2-Input NAND Gate |
![]() Data Sheet |
![]()
|
|
||||||||||||||||||
![]() |
![]() 74LCX00MTC |
![]() Fairchild Semiconductor |
![]() Gates (AND / NAND / OR / NOR) Qd 2-Input NAND Gate |
![]() Data Sheet |
![]()
|
|
||||||||||||||||||
![]() |
![]() 74LCX00MTCX |
![]() Fairchild Semiconductor |
![]() Gates (AND / NAND / OR / NOR) Qd 2-Input NAND Gate |
![]() Data Sheet |
![]()
|
|
||||||||||||||||||
![]() |
![]() 74LCX00MTR |
![]() |
![]() IC GATE NAND QUAD 2INP 14-SOIC |
![]() Data Sheet |
![]()
|
|
||||||||||||||||||
(Hong Kong)














